Loading spinner
フィットネス・テクノロジーが急速に進化する中、開発者はユーザ体験とフィットネスの成果を改善する革新的な方法の模索に余念がありません。この分野での最大の課題は、パーソナル・コーチによる付きっきりの指導がなくとも、フィットネス・ワークアウトの品質を高められるようにすることです。スマート・ミラーの導入は、最新テクノロジーを有効利用した格好の例です。フィットネスの課題を解決するためにミラー内部にAIを組み込む画期的なソリューションです。スマート・ミラーには次のようなメリットがあります。
  • リアルタイムの分析:ワークアウトの品質や姿勢の修正などのフィードバックを即座に得られます。
  • コスト効率:高額のコーチ料が不要になります。
  • 24時間365日利用可能:いつでも継続的なサポートとフィードバックが得られます。
  • パーソナライゼーション:ユーザ・プロファイルとリアルタイム・データに基づいてワークアウトのプランを調整できます。
  • 自律性:クラウドへの常時接続なしで動作するため、プライバシー保護、遅延削減、信頼性向上などのメリットがもたらされます。
今後、このユースケースの実装に関する詳細をご紹介する予定です。それまでは、こちらで、エッジAIのメリットの詳細をご確認ください。

アプリケーションの原理

下記動画の画像は、イメージ・センサで取得されています。LCD画面に表示するための処理とともに、ニューラル・ネットワークに送信するための画像のダウンスケールが実行されています。

アプローチ

現在、姿勢推定アプリケーションの実行に最も有効とされているのは、畳み込みニューラル・ネットワーク(CNN)を使用する方法です。
この例ではSTM32 Model zooで提供中のモデルの1つを使用しました。STのパートナーUltralyticsによるYolov8n_poseです。これは、高いフレーム・レートでキーポイントを正確に取得できる、姿勢推定アプリケーション用の最先端モデルです。
このようなモデルには、高い計算能力が必要であり、マイコンの最適の選択肢はSTM32N6です。このマイコンには、Neural-ARTアクセラレータと呼ばれるNPUが搭載されています。
このモデルをSTM32N6上に簡単に最適化して導入するために、STM32 Model zooから入手可能なスクリプトと、STM32Cube.AIコード・オプティマイザを使用しました。
これらのテクノロジーは、より広範なエッジAIソリューションの一環として開発されました。ST Edge AI Suiteの詳細は、こちらをご覧ください。

センサ

RGBイメージ・センサ
STM32 Model Zooでは、次の2種類のイメージ・センサを使用したコード例を提供しています。Sony IMX335 5Mp RGB(STM32N6570-DKに付属)と、STのVD66GY 1.5Mp RGBグローバル・シャッター(高精度の動き検出に最適)です。

データセットとモデル

データセット:内製(Coco 201 PersonをSTが変更)
モデル:Yolov8n_pose(UltralyticsがPytorchで実装、TensorFlow Liteコンバータでint8フォーマットに量子化)入力サイズ:256 x 256 x 3

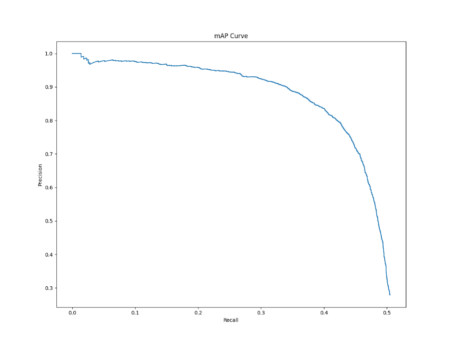
結果

重みパラメータ:3.2MB
実行サイズ:1.1MB
推論処理時間:36ms
毎秒の推論回数:28
姿勢のmAP50(平均精度):51.1%

yolov8とはマルチポーズ推定用の最先端モデルです。上記以外のデータセット、モデル、解像度を使用した異なるトレードオフを実現することも可能です。特定の性能やハードウェア・リソースの制約を満たすためにAIモデルを最適化するには、これらのパラメータ間のバランスを取ることが重要です。その他のモデルについては、STM32 Model zooをご覧ください。

結果 結果 結果

今すぐ開始

このユースケースは、以下のリソースを使って簡単に再現できます。
ステップ・バイ・ステップ・チュートリアル
Yolov8n姿勢学習済みモデル
アプリケーション・コード例
その他のリソース:
STM32 Model zooのインストール方法

執筆者:Vincent RICHARD | 最新更新日:2025年1月

最適化ツール

STM32Cube.AI

STM32Cube.AI

最適製品

STM32N6シリーズ

最適製品
リソース

STM32Cube.AIによる最適化

STM32Cubeの無料の拡張パッケージX-CUBE-AIを使用すると、ニューラル・ネットワークや機械学習モデルなどの学習済みAIアルゴリズムを、STM32用の最適化されたCコードに自動変換できます。

STM32Cube.AIによる最適化 STM32Cube.AIによる最適化 STM32Cube.AIによる最適化

STM32N6シリーズに最適

Arm®Cortex®‑Mプロセッサをベースとする汎用32bitマイクロコントローラのSTM32ファミリは、より柔軟かつ自由なアプリケーション開発を実現します。高性能、リアルタイムの処理能力、デジタル信号処理(DSP)、低消費電力 / 低電圧動作、コネクティビティなどのさまざまな機能を集積した製品により、開発をサポートします。

STM32N6シリーズに最適 STM32N6シリーズに最適 STM32N6シリーズに最適
おすすめ情報

産業機器 | スマート・シティ | 画像 | STM32Cube.AI | STM32 AI MCU | パートナー | ビデオ | スマート・ホーム

id3社の顔識別アルゴリズムと生体検出を用いたセキュアな入退室システム

RGBカメラとToF測距センサによるエッジ処理は、STM32N6マイクロコントローラによるアクセス制御の迅速かつセキュアななりすまし防止を実現します。

パートナー | スマート・シティ | 輸送 物流 | 画像 | STM32Cube.AI | STM32 AI MCU | ビデオ

Irida LabsのビジョンAIに基づくナンバープレート識別(ANPR)

スマート・シティ・アプリケーション向けに自動ナンバープレート識別(ANPR)を実現する、STM32マイコン上のビジョンAIで動作するソリューション

採用事例 | STM32 MCU | NanoEdge AI Studio | 産業機器 | ビデオ | ガス・センサ | スマート・ビルディング

Linxens社の組み込みAI使用による有毒ガス発生兆候の早期検知方法

臭いや複雑なガスをデジタル化する、STM32マイクロコントローラを搭載したセンサ・プラットフォームにより、現場での検知を実現